
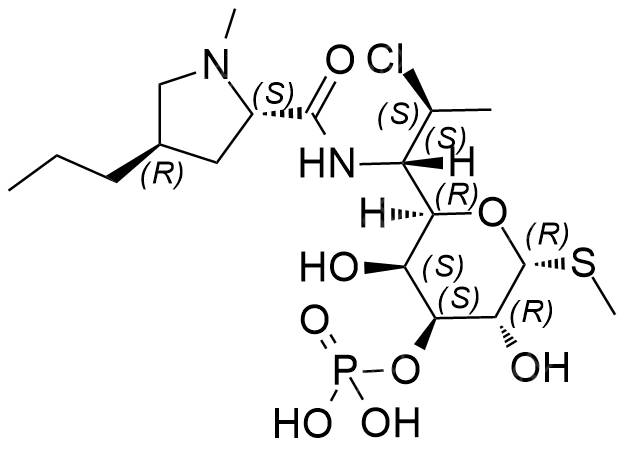
Name
Clindamycin
EP Impurity C
Synonyms
(
2R,
3S,
4S,
5R,
6R)-2-((
1S,
2S)-2-chloro-1-((
2S,
4R)-1-methyl-4-propylpyrrolidine-2-carboxamido)propyl)-3,5-dihydroxy-6-(methylthio)tetrahydro-2H-pyran-4-yl dihydrogen phosphate
Molecular Formula
C₁₈H₃₄ClN₂O₈PS
Molecular Weight
504.96
CAS Number (Or Watson Number for Non-CAS Products)
28708-34-1
Use
Impurity of
API Clindamycin
Links
This product is developed by our R
&D company Caming Pharmaceutical Ltd (
https://www.caming.com/).
Quick Inquiry
Fill out our inquiry form and one of our experts will be in touch with you shortly.