
Name
Ampicillin Impurity R
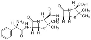
Chemical Name
(
2S,
5R,
6R)-6-((
2S,
5R,
6R)-6-((R)-2-amino-2-phenylacetamido)-3,3-dimethyl-7-oxo-4-thia-1-azabicyclo[3.2.0]heptane-2-carboxamido)-3,3-dimethyl-7-oxo-4-thia-1-azabicyclo[3.2.0]heptane-2-carboxylic acid
Molecular Formula
C24H29N5O6S2Molecular Weight
547.645
CAS Number (Or Watson Number for Non-CAS Products)
69-53-44003019
Appearance
White powder
Stability and Solubility
Dissolved in pure water
Storage
Store at -20°C
Use
Impurity of
API Ampicillin
Links
This product is developed by our R
&D company Caming Pharmaceutical Ltd (
https://www.caming.com/).
Quick Inquiry
Fill out our inquiry form and one of our experts will be in touch with you shortly.