
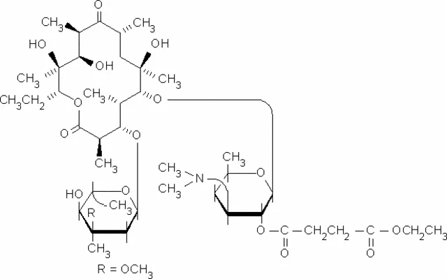
Name
Atorvastatin Lactam Lactone
Molecular Formula
C33H33FN2O5Molecular Weight
556.62
CAS Number (Or Watson Number for Non-CAS Products)
906552-19-0
Use
Impurity of
API Atorvastatin
Links
This product is developed by our R
&D company Caming Pharmaceutical Ltd (
https://www.caming.com/).
Quick Inquiry
Fill out our inquiry form and one of our experts will be in touch with you shortly.