
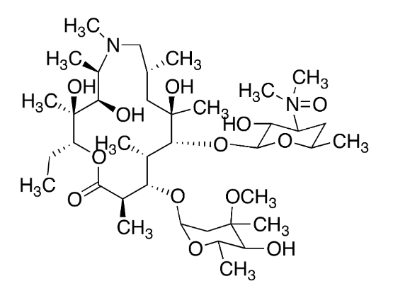
Name
Azithromycin
EP Impurity L
Synonyms
Azithromycin N-Oxide
Molecular Formula
C₃₈H₇₂N₂O₁₃
Molecular Weight
764.98
CAS Number (Or Watson Number for Non-CAS Products)
90503-06-3
Use
Impurity of
API Azithromycin
Links
This product is developed by our R
&D company Caming Pharmaceutical Ltd (
https://www.caming.com/).
Quick Inquiry
Fill out our inquiry form and one of our experts will be in touch with you shortly.