
Name
Aztreonam Dimer
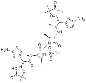
Chemical Name
2-((((Z)-1-(2-aminothiazol-4-yl)-2-(((
2S,
3S)-1-(2-((Z)-2-(2-aminothiazol-4-yl)-2- (((2-carboxypropan-2-yl)oxy)imino)acetamido)-3-(sulfoamino)butanoyl)-2- methyl-4-oxoazetidin-3-yl)amino)-2-oxoethylidene)amino)oxy)-2- methylpropanoic acid
Molecular Formula
C26H34N10O13S3Molecular Weight
790.795
CAS Number (Or Watson Number for Non-CAS Products)
78110-38-020008019
Appearance
White powder
Stability and Solubility
Relatively stable
Storage
Use
Impurity of
API Aztreonam
Links
This product is developed by our R
&D company Caming Pharmaceutical Ltd (
https://www.caming.com/).
Quick Inquiry
Fill out our inquiry form and one of our experts will be in touch with you shortly.