
Name
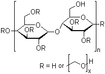
Hydroxyethyl Cellulose
Synonyms
Hydroxyethyl cellulose ether
Molecular Formula
C29H52O21Molecular Weight
736.71
CAS Number (Or Watson Number for Non-CAS Products)
9004-62-0
EINECS
618-387-5
Appearance
Melting Point
Boiling Point
Other Properties
Purity
Water
Absorption Peaks
Use
Links
This product is developed by our R
&D company Warshel Chemical Ltd (
http://www.warshel.com/), and here is the corresponding link
http://warshel.com/Hydroxyethyl-Cellulose-cas-9004-62-0/Quick Inquiry
Fill out our inquiry form and one of our experts will be in touch with you shortly.