
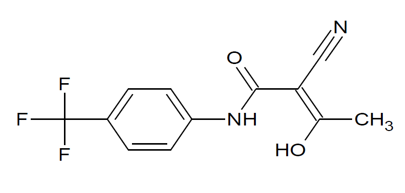
Name
Leflunomide Related Compound-B
Synonyms
(2-cyano-3-hydroxy-N-[4′- (trifluoromethyl)phenyl)crotone amide
Molecular Formula
C12H9F3N2O2Molecular Weight
270.21
CAS Number (Or Watson Number for Non-CAS Products)
108605-62-5
Use
Impurity of
API Leflunomide
Links
This product is developed by our R
&D company Caming Pharmaceutical Ltd (
https://www.caming.com/).
Quick Inquiry
Fill out our inquiry form and one of our experts will be in touch with you shortly.