
Name
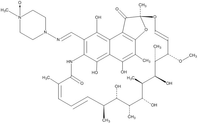
Rifampin Impurity 6
Chemical Name
N/A
Molecular Formula
C41H56N4O12Molecular Weight
796.915
CAS Number (Or Watson Number for Non-CAS Products)
13292-46-120052004
Appearance
Red powder
Stability and Solubility
Methanol dissolved
Storage
Store at -20°C
Use
Impurity of
API Rifampin
Links
This product is developed by our R
&D company Caming Pharmaceutical Ltd (
https://www.caming.com/).
Quick Inquiry
Fill out our inquiry form and one of our experts will be in touch with you shortly.