Structure of Valiolamine CAS 83465-22-9Iden­ti­fi­ca­tion Prop­er­ties Safe­ty Data Spec­i­fi­ca­tions and Oth­er Information Links

Iden­ti­fi­ca­tion

CAS Number

83465-22-9

Name

Vali­o­lamine

Syn­onyms

(+)-vali­o­lamine (1S,2S,3R,4S,5S)-5-Amino-1-(hydroxymethyl)-1,2,3,4-cyclohexanetetrol [ACD/IUPAC Name] (1S,2S,3R,4S,5S)-5-Amino-1-(hydroxyméthyl)-1,2,3,4-cyclohexanetétrol [French] [ACD/IUPAC Name] (1S,2S,3R,4S,5S)-5-Amino-1-(hydroxymethyl)-1,2,3,4-cyclohexantetrol [Ger­man] [ACD/IUPAC Name] (1S,2S,3R,4S,5S)-5-Amino-1-(hydroxymethyl)cyclohexane-1,2,3,4-tetrol 1,2,3,4-Cyclohexanetetrol, 5-amino-1-(hydroxymethyl)-, (1S,2S,3R,4S,5S)- [ACD/​Index Name] 5-amino-1-hydroxymethyl-cyclohexame-1,2,3,4-tetranol Vali­o­lamine (1S,2S,3R,4S,5S)-5-Amino-1-(hydroxymethyl)cyclohexane-1,2,3,4-tetraol [83465-22-9] 223464-03-7 [RN] 38231-70-1 [RN] 38231-86-6 [RN] 83465-22-9 [RN] CHEMBL222396 MFCD07773061 [MDL num­ber] Vali­no­lamine

Mol­e­c­u­lar Structure

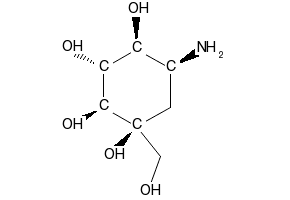
Structure of Valiolamine CAS 83465-22-9

Struc­ture of Vali­o­lamine CAS 83465-22-9

SMILES

C1[C@@H]([C@@H]([C@H]([C@@H]([C@]1(CO)O)O)O)O)N

Std­InChI

InChI=1S/C7H15NO5/c8-3-1-7(13,2-9)6(12)5(11)4(3)10/h3-6,9-13H,1-2,8H2/t3-,4-,5+,6-,7-/m0/s1

Std­InChIKey

VDLO­JRUT­N­R­JD­JO-ZYN­SJIG­GSA-N

Mol­e­c­u­lar Formula

C7H15NO5

Mol­e­c­u­lar Weight

193.2

MDL Number

MFCD07773061

Prop­er­ties

Appear­ance

White to off white pow­der

Safe­ty Data

WGK Germany

Spec­i­fi­ca­tions and Oth­er Infor­ma­tion of Our Vali­o­lamine CAS 83465-22-9

Stan­dard

Enter­prise stan­dard

Iden­ti­fi­ca­tion Methods

HPLC

Assay

97%~101%

Loss on Drying

≤1.0%

Residue on Ignition

≤0.5%

Sin­gle max Impurity

≤2.0%

Total Impu­ri­ties

≤3.0%

Man­u­fac­tur­ing Capacity

1-100kgs

Stor­age

Sealed and store at the room tem­per­a­ture and away from light.

Appli­ca­tion

Com­mon­ly used to treat dia­betes drugs.

Links

This prod­uct is devel­oped by our RandD com­pa­ny Cam­ing Phar­ma­ceu­ti­cal Ltd(http://​www​.cam​ing​.com/), and here is the cor­re­spond­ing linkhttp://​www​.cam​ing​.com/​v​a​l​i​o​l​a​m​i​n​e​-​c​a​s​-​8​3​4​6​5​-​2​2​-9/

Quick Inquiry

Fill out our inquiry form and one of our experts will be in touch with you short­ly (Please change screen to hor­i­zon­tal for com­plete brows­ing if you are check­ing Wat­son on your mobile phone). 

























    Please prove you are human by select­ing the truck.




    andD pur­pose. It may be tox­ic or haz­ardous, and should be han­dled only by qual­i­fied indi­vid­u­als trained in lab­o­ra­to­ry pro­ce­dures. The buy­er will be respon­si­ble to warn and inform any per­son that may be in con­tact with the prod­uct of the poten­tial risks and haz­ards, as well as to ensure that pur­chase, use and dis­pos­al of the prod­uct com­ply with local laws and regulations.