
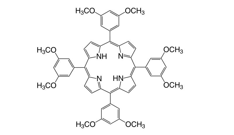
Name
5,10,15,20-Tetrakis(3,5-dimethoxyphenyl)porphyrin
Synonyms
5,10,15,20-Tetrakis(3,5-dimethoxyphenyl)porphyrin
Molecular Formula
C52H46N4O8Molecular Weight
854.96 g/mole
CAS Number
74684-34-7
Grade
> 95% (
NMR)
UV
PL
TGA
Solubility
HOMO
LUMO
Emission
Melting Point
Boiling Point
TM
More About the Material
The technology of this material is authorized by
ChemWhat in London
Quick Inquiry
Fill out our inquiry form and one of our experts will be in touch with you shortly.