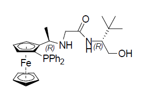
![Ferrocene, 1-(diphenylphosphino)-2-[(1R)-1-[[2-[[(1R)-1-(hydroxymethyl)-2,2-dimethylpropyl]amino]-2-oxoethyl]amino]ethyl]-, (1R)- CAS 2922459-71-8](https://www.watson-int.com/wp-content/uploads/2025/10/Structure-of-Ferrocene-1-diphenylphosphino-2-1R-1-2-1R-1-hydroxymethyl-22-dimethylpropylamino-2-oxoethylaminoethyl-1R-CAS-2922459-71-8.png)
Ferrocene, 1-(diphenylphosphino)-2-[(1R)-1-[[2-[[(1R)-1-(hydroxymethyl)-2,2-dimethylpropyl]amino]-2-oxoethyl]amino]ethyl]-, (1R)- CAS 2922459-71-8
Identification CAS Number 2922459-71-8 Name Ferrocene, 1-(diphenylphosphino)-2-[(1R)-1-[[2-[[(1R)-1-(hydroxymethyl)-2,2-dimethylpropyl]amino]-2-oxoethyl]amino]ethyl]-, (1R)- Synonyms (S)-Ferrocene,1-(diphenylphosphino)-2-[(1R)-1-[[2-[[(1R)-1-(hydroxymethyl)-2,2-dimethylpropyl]amino]-2-oxoethyl]amino]ethyl]-,;1-(Diphenylphosphino)-2-[(1R)-1-[[2-[[(1R)-1-(hydroxymethyl)-2,2-dimChemicalbookethylpropyl]amino]-2-oxoethyl]amino]ethyl]-(S)-ferrocene;Ferrocene,1-(diphenylphosphino)-2-[(1R)-1-[[2-[[(1R)-1-(hydroxymethyl)-2,2-dimethylpropyl]amino]-2-oxoethyl]amino]ethyl]-,(1R)-;f-phamidol…
Read more










![1,7-Dimethyl-2,4-dioxo-1,2,3,4-tetrahydro-pyrido[2,3-d]pyrimidine-5-carboxylic acid CAS 110181-69-6](https://www.watson-int.com/wp-content/uploads/2025/08/Structure-of-17-Dimethyl-24-dioxo-1234-tetrahydro-pyrido23-dpyrimidine-5-carboxylic-acid-CAS-110181-69-6.png)











