
Human APCDD1 Protein, Accession : Q8J025
Human APCDD1 Protein,Q8J025,Leu27-His492
Read more


Cynomolgus BAFFR/TNFRSF13C Protein,XP_001101623,Ser7-Ala71
Read more


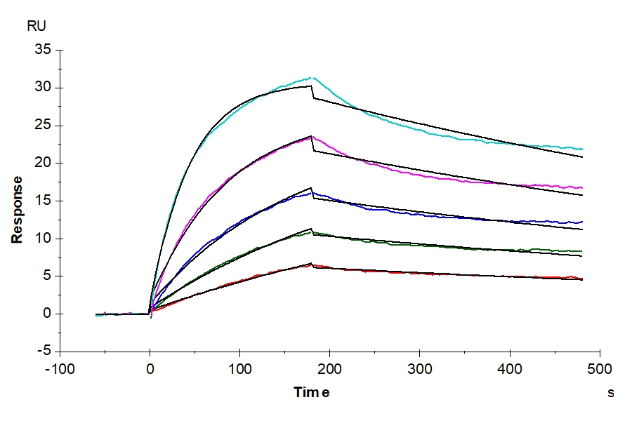
Human BAFFR/TNFRSF13C Protein,Q96RJ3,Ser7-Ala71
Read more


Mouse BAFFR/TNFRSF13C Protein,Q9D8D0,Ser10-Ala71
Read more


Biotinylated Human 4-1BB Ligand/TNFSF9 Trimer Protein (Primary Amine Labeling),P41273,Arg71-Glu254
Read more


Human BMP9/GDF-2 Protein,Q9UK05,Ser320-Arg429
Read more


Mouse BMP9/GDF-2 Protein,Q9WV56,Ser319-Arg428
Read more


Human BTN1A1/Butyrophilin Protein,Q13410,Ala27-Arg242
Read more


Mouse CA9/Carbonic Anhydrase IX Protein,NP_647466,Gln32-Asp390
Read more


Mouse Complement component 3 Protein,P01027,Ile25-Asn1663
Read more


Biotinylated Cynomolgus CD161 Protein,XP_005570142,Gln67-Leu227
Read more


Cynomolgus CD24 Protein-VLP,XP_015304503,Ser26-Gly57
Read more