
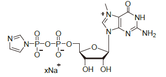
N1-Me-pUTP 100mM Tris solution CAS NMPUTPT100
N1-Me-pUTP 100mM Tris solution,NMPUTPT100,Nucleotides
Read more
N1-Me-pUTP 100mM Tris solution,NMPUTPT100,Nucleotides
Read more


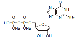
N1-Me-pUTP 200mM Tris solution,NMPUTPT200,Nucleotides
Read more


Cy3-UTP 10mM Sodium solution,CY3UTP,Nucleotides
Read more


Cy5-UTP 10mM Sodium solution,CY5UTP,Nucleotides
Read more


Fluorescein-12-UTP 10mM Sodium solution,F12UTP,Nucleotides
Read more