
Name
Cefazolin
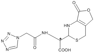
USP Impurity D (Cefazolin Open-ring Lactone)
Chemical Name
Cefazolin open-ring lactone ,(R)-2-[2-(1H-Tetrazol-1-yl)acetamido]-2-[(R)-7-oxo-2,4,5,7-tetrahydro-1H-furo[3,4-d][1,3]thiazin-2-yl]acetic acid
Molecular Formula
Molecular Weight
CAS Number (Or Watson Number for Non-CAS Products)
25953-19-917011
Appearance
Stability and Solubility
Storage
Use
Impurity of
API Cefazolin
Links
This product is developed by our R
&D company Caming Pharmaceutical Ltd (
https://www.caming.com/).
Quick Inquiry
Fill out our inquiry form and one of our experts will be in touch with you shortly.