
Name
CMP-sialic acid synthetase ; NmCSS
CAS Number
127-7-43
EC Number
E.C.: 2.7.7.43
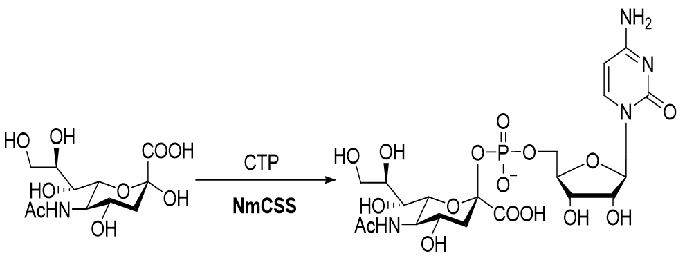
Reaction Equation
Neu5Ac +
CTP —— CMP-Neu5Ac + PPi
Product Description
E.coli recombinant Alpha2,6sialyltransferase from Neisseria meningitidis
Definition of Enzyme Activity
One unit is defined as the amount of enzyme that catalyzes the formation of 1 Mumol CMP-Neu5Ac from
CTP and Neu5Ac per minute at 37ºC.
Links
This product is developed by our R
&D company Jiangsu Watson Bio Ltd (
https://www.watson.bio/), and here is the corresponding link
https://www.watson-bio.com/CMP-sialic-acid-synthetase;-NmCSS-cas-127-7-43/Trademark Information
This product is sold with the trademark protection, ChemWhat held by Watson International.
Quick Inquiry
Fill out our inquiry form and one of our experts will be in touch with you shortly.