
- Overview
- Specifications
- Shipping, Reconstitution & Storage
- General View of Documents
- Declaration
- Quick Inquiry
Overview
General Description
Recombinant Cynomolgus IL-13 Protein is expressed from HEK293 with His tag at the N-terminal.It contains Ser19-Asn132.
Biotinylated
Specifications
Target
IL-13
Synonyms
Accession
Species
Cynomolgus
Exact Sequence
Ser19-Asn132
Molecular Weight
The protein has a predicted MW of 13.59 kDa. Due to glycosylation, the protein migrates to 30-45 kDa based on Tris-Bis PAGE result.
Activity
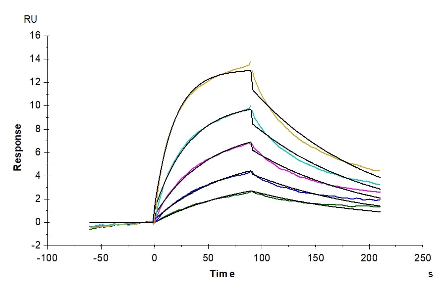
The affinity constant of 21.16 nM as determined in SPR assay (Biacore T200). See testing image for detail.
Product Tag
N-His
Express System
HEK293
Purity
> 95% as determined by Tris-Bis PAGE;> 95% as determined by HPLC
Endotoxin
Less than 1EU per ug by the LAL method.
Shipping, Reconstitution & Storage
Appearance
Lyophilized
Shipping Conditions
Shipped at ambient temperature.
Formulation
Lyophilized from 0.22um filtered solution in PBS (pH 7.4). Normally 8% trehalose is added as protectant before lyophilization.
Reconstitution
Centrifuge tubes before opening. Reconstituting to a concentration more than 100 ug/ml is recommended. Dissolve the lyophilized protein in distilled water.
Stability & Storage
Reconstituted protein stable at -80°C for 12 months, 4°C for 1 week. Use a manual defrost freezer and avoid repeated freeze-thaw cycles.
General View of Documents



Cynomolgus IL-13Ra1,His Tag immobilized on CM5 Chip can bind Cynomolgus IL-13, His Tag with an affinity constant of 21.16 nM as determined in SPR assay (Biacore T200).



The purity of Cynomolgus IL-13 is greater than 95% as determined by SEC-HPLC.



Cynomolgus IL-13 on Tris-Bis PAGE under reduced condition. The purity is greater than 95%.
Declaration
This product is branded by ChemWhat and sold through our website. (ChemWhat Official Website).
Quick Inquiry
Fill out our inquiry form and one of our experts will be in touch with you shortly.

![(<span class="caps">3S</span>)-3-[4-[(5-Bromo-2-chlorophenyl)methyl]phenoxy]tetrahydro-furan <span class="caps">CAS</span> 915095-89-5 (3S)-3-[4-[(5-Bromo-2-chlorophenyl)methyl]phenoxy]tetrahydro-furan CAS 915095-89-5](https://www.watson-int.com/wp-content/uploads/2015/08/3S-3-4-5-Bromo-2-chlorophenylmethylphenoxytetrahydro-furan-CAS-915095-89-5.png)



![Structure of 4-bromo-N-ethyl-6,7-dihydro-6-methyl-7-oxo-1H-Pyrrolo[2,3-c]pyridine-2-carboxamide <span class="caps">CAS</span> 1628864-79-8 Structure of 4-bromo-N-ethyl-6,7-dihydro-6-methyl-7-oxo-1H-Pyrrolo[2,3-c]pyridine-2-carboxamide CAS 1628864-79-8](https://www.watson-int.com/wp-content/uploads/2022/02/Structure-of-4-bromo-N-ethyl-67-dihydro-6-methyl-7-oxo-1H-Pyrrolo23-cpyridine-2-carboxamide-CAS-1628864-79-8.png)


![Structure of 1,2,3,6,7,11beta-hexahydro-4H-pyrazino[2,1-alpha]isoquinoline-4-one <span class="caps">CAS</span> 61196-37-0 Structure of 1,2,3,6,7,11beta-hexahydro-4H-pyrazino[2,1-alpha]isoquinoline-4-one CAS 61196-37-0](https://www.watson-int.com/wp-content/uploads/2014/12/Structure-of-1236711beta-hexahydro-4H-pyrazino21-alphaisoquinoline-4-one-CAS-61196-37-0.png)
