
- Overview
- Specifications
- Shipping, Reconstitution & Storage
- General View of Documents
- Declaration
- Quick Inquiry
Overview
General Description
Recombinant Cynomolgus/Rhesus macaque TNFSF15 Protein is expressed from HEK293 with His tag at the N-terminal.It contains Leu72-Leu251.
Biotinylated
Specifications
Target
TNFSF15
Synonyms
Accession
Species
Cynomolgus/Rhesus macaque
Exact Sequence
Leu72-Leu251
Molecular Weight
The protein has a predicted MW of 21.52 kDa. Due to glycosylation, the protein migrates to 25-35 kDa based on Tris-Bis PAGE result.
Activity
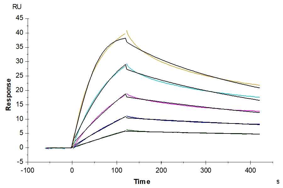
Immobilized Cynomolgus/Rhesus macaque TNFSF15, His Tag at 1ug/ml (100ul/well) on the plate. Dose response curve for Anti-TNFSF15 Antibody, hFc Tag with the EC50 of 8.0ng/ml determined by ELISA. The affinity constant of 11.70 nM as determined in SPR assay (Biacore T200). See testing image for detail.
Product Tag
N-His
Express System
HEK293
Purity
> 95% as determined by Tris-Bis PAGE;> 95% as determined by HPLC
Endotoxin
Less than 1EU per ug by the LAL method.
Shipping, Reconstitution & Storage
Appearance
Lyophilized
Shipping Conditions
Shipped at ambient temperature.
Formulation
Lyophilized from 0.22um filtered solution in PBS (pH 7.4). Normally 8% trehalose is added as protectant before lyophilization.
Reconstitution
Centrifuge tubes before opening. Reconstituting to a concentration more than 100 ug/ml is recommended. Dissolve the lyophilized protein in distilled water.
Stability & Storage
Reconstituted protein stable at -80°C for 12 months, 4°C for 1 week. Use a manual defrost freezer and avoid repeated freeze-thaw cycles.
General View of Documents



Mouse DR3, His Tag immobilized on CM5 Chip can bind Cynomolgus/Rhesus macaque TNFSF15, His Tag with an affinity constant of 11.70 nM as determined in SPR assay (Biacore T200).



Immobilized Cynomolgus/Rhesus macaque TNFSF15, His Tag at 1ug/ml (100ul/well) on the plate. Dose response curve for Anti-TNFSF15 Antibody, hFc Tag with the EC50 of 8.0ng/ml determined by ELISA.



The purity of Cynomolgus/Rhesus macaque TNFSF15 is greater than 95% as determined by SEC-HPLC.



Cynomolgus/Rhesus macaque TNFSF15 on Tris-Bis PAGE under reduced condition. The purity is greater than 95%.
Declaration
This product is branded by ChemWhat and sold through our website. (ChemWhat Official Website).
Quick Inquiry
Fill out our inquiry form and one of our experts will be in touch with you shortly.









