
- Overview
- Specifications
- Shipping, Reconstitution & Storage
- General View of Documents
- Declaration
- Quick Inquiry
Overview
General Description
Recombinant Human CD155/PVR Protein is expressed from HEK293 with hFc tag at the C-terminal.It contains Trp21-Asn343.
Biotinylated
Specifications
Target
CD155/PVR
Synonyms
CD155 ; HVED ; NECL5 ; Necl-5 ; nectin-like 5 ; PVR ; PVS ; Tage4 ; PVSFLJ25946 ; FLJ25946
Accession
Species
Human
Exact Sequence
Trp21-Asn343
Molecular Weight
The protein has a predicted MW of 61.8 kDa. Due to glycosylation, the protein migrates to 75-100 kDa based on Tris-Bis PAGE result.
Activity
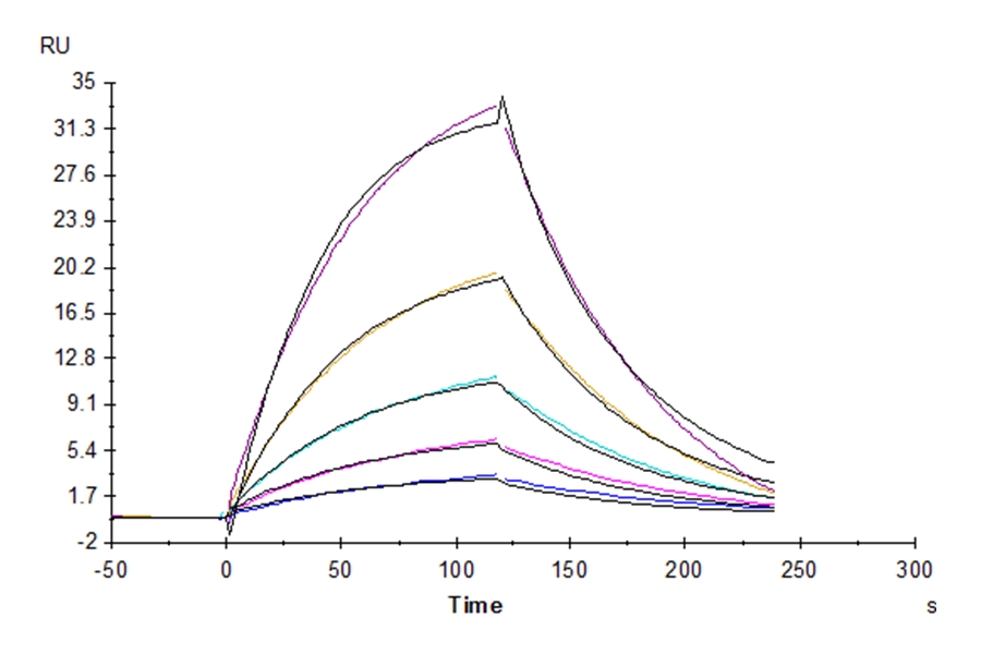
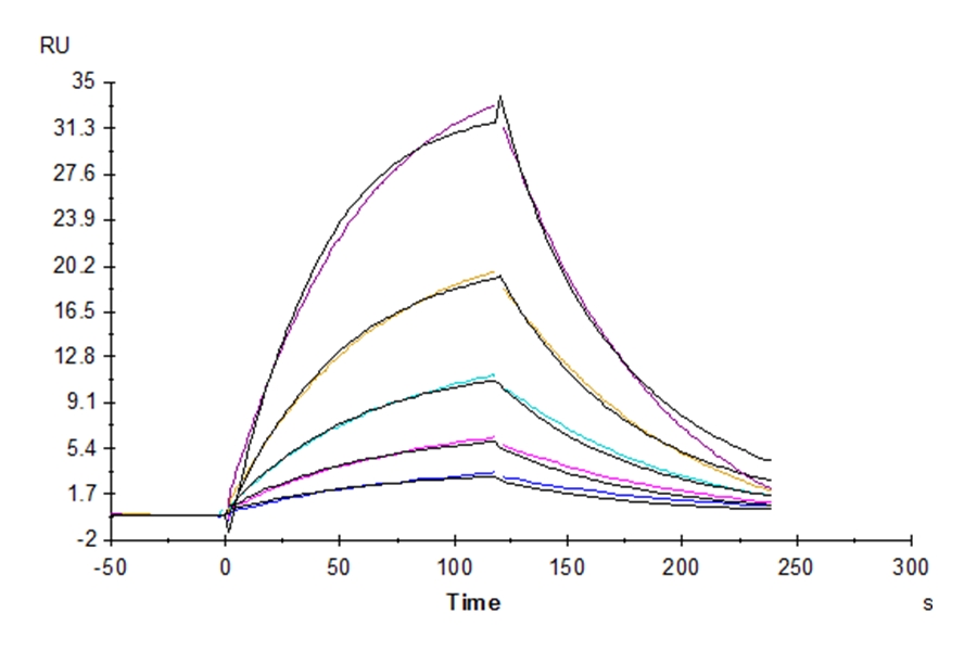
Immobilized Human TIGIT, His Tag at 0.5ug/ml (100ul/Well) on the plate. Dose response curve for Human CD155, hFc Tag with the EC50 of 49.2ng/ml determined by ELISA (QC Test). The affinity constant of 0.958 uM as determined in SPR assay (Biacore T200). See testing image for detail.
Product Tag
C-hFc
Express System
HEK293
Purity
> 95% as determined by Tris-Bis PAGE;> 95% as determined by SEC-HPLC
Endotoxin
Less than 1EU per ug by the LAL method.
Shipping, Reconstitution & Storage
Appearance
Lyophilized
Shipping Conditions
Shipped at ambient temperature.
Formulation
Lyophilized from 0.22um filtered solution in PBS (pH 7.4). Normally 5% trehalose is added as protectant before lyophilization.
Reconstitution
Centrifuge tubes before opening. Reconstituting to a concentration more than 100 ug/ml is recommended. Dissolve the lyophilized protein in distilled water.
Stability & Storage
Reconstituted protein stable at -80°C for 12 months, 4°C for 1 week. Use a manual defrost freezer and avoid repeated freeze-thaw cycles.
General View of Documents



Human CD155, hFc Tag captured on CM5 Chip via Protein A can bind Human CD96, His Tag with an affinity constant of 0.958 uM as determined in SPR assay (Biacore T200).



Immobilized Human TIGIT, His Tag at 0.5ug/ml (100ul/Well) on the plate. Dose response curve for Human CD155, hFc Tag with the EC50 of 49.2ng/ml determined by ELISA (QC Test).



Immobilized Human CD96, mFc Tag at 5ug/ml (100ul/Well) on the plate. Dose response curve for Human CD155, hFc Tag with the EC50 of 0.21ug/ml determined by ELISA.



The purity of Human CD155 is greater than 95% as determined by SEC-HPLC.



Human CD155 on Tris-Bis PAGE under reduced condition. The purity is greater than 95%.
Declaration
This product is branded by ChemWhat and sold through our website. (ChemWhat Official Website).
Quick Inquiry
Fill out our inquiry form and one of our experts will be in touch with you shortly.









