
- Overview
- Specifications
- Shipping, Reconstitution & Storage
- General View of Documents
- Declaration
- Quick Inquiry
Overview
General Description
Recombinant Mouse IFN alpha/beta R1 Protein is expressed from HEK293 with His tag and Avi tag at the C-terminal.It contains Glu27-Thr429.
Biotinylated
Specifications
Target
IFN alpha/beta R1
Synonyms
AVP ; IFN-alpha/beta R1 ; IFN-alpha-REC ; IFNAR ; IFNAR1 ; IFN-aR1 ; IFNBR ; IFNbR1 ; IFN-R-1 ; CRF2-1 ; IFRC
Accession
Species
Mouse
Exact Sequence
Glu27-Thr429
Molecular Weight
The protein has a predicted MW of 46.9 kDa. Due to glycosylation, the protein migrates to 67-70 kDa based on Tris-Bis PAGE result.
Activity
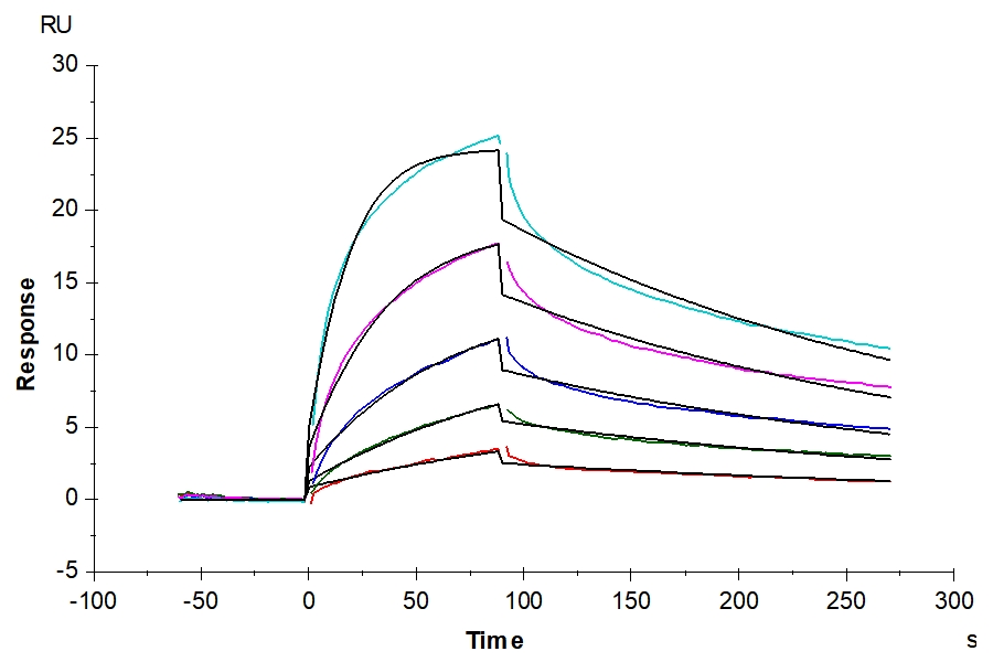
The affinity constant of 3.61 nM as determined in SPR assay (Biacore T200). See testing image for detail.
Product Tag
C-His-Avi
Express System
HEK293
Purity
> 95% as determined by Tris-Bis PAGE;> 95% as determined by HPLC
Endotoxin
Less than 1EU per ug by the LAL method.
Shipping, Reconstitution & Storage
Appearance
Lyophilized
Shipping Conditions
Shipped at ambient temperature.
Formulation
Lyophilized from 0.22um filtered solution in PBS (pH 7.4). Normally 8% trehalose is added as protectant before lyophilization.
Reconstitution
Centrifuge tubes before opening. Reconstituting to a concentration more than 100 ug/ml is recommended. Dissolve the lyophilized protein in distilled water.
Stability & Storage
Reconstituted protein stable at -80°C for 12 months, 4°C for 1 week. Use a manual defrost freezer and avoid repeated freeze-thaw cycles.
General View of Documents



Mouse IFNAR1, His Tag captured on CM5 Chip via anti-his antibody can bind Human IFN alpha 1, hFc Tag with an affinity constant of 3.61 nM as determined in SPR assay (Biacore T200).



The purity of Mouse IFNAR1 is greater than 95% as determined by SEC-HPLC.



Mouse IFNAR1 on Tris-Bis PAGE under reduced condition. The purity is greater than 95%.
Declaration
This product is branded by ChemWhat and sold through our website. (ChemWhat Official Website).
Quick Inquiry
Fill out our inquiry form and one of our experts will be in touch with you shortly.
![Structure of 2,4-Diamino-6-[2-(2-methyl-1-imidazolyl)ethyl]-1,3,5-triazine <span class="caps">CAS</span> 38668-46-1 Structure of 2,4-Diamino-6-[2-(2-methyl-1-imidazolyl)ethyl]-1,3,5-triazine CAS 38668-46-1](https://www.watson-int.com/wp-content/uploads/2022/05/Structure-of-24-Diamino-6-2-2-methyl-1-imidazolylethyl-135-triazine-CAS-38668-46-1.png)



![Structure of cis-[2-(2,4-Dichlorophenyl)-2-(1H-imidazol-1-ylmethyl)-1,3-dioxolan-4-yl]methyl-4-methylbenzenesulphonate <span class="caps">CAS</span> 134071-44-6 Structure of cis-[2-(2,4-Dichlorophenyl)-2-(1H-imidazol-1-ylmethyl)-1,3-dioxolan-4-yl]methyl-4-methylbenzenesulphonate CAS 134071-44-6](https://www.watson-int.com/wp-content/uploads/2014/12/Structure-of-cis-2-24-Dichlorophenyl-2-1H-imidazol-1-ylmethyl-13-dioxolan-4-ylmethyl-4-methylbenzenesulphonate-CAS-134071-44-6.png)




