
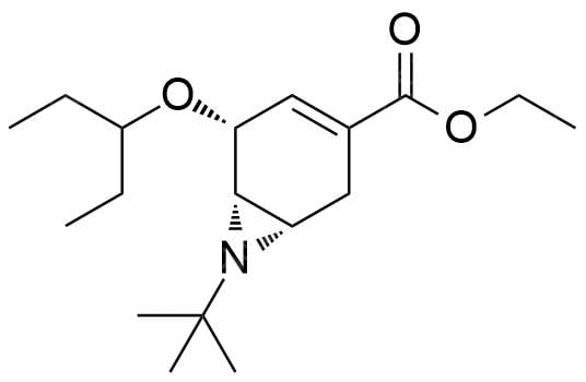
Name
Oseltamivir Impurity 102
Synonyms
(
1S,
5R,
6S)-ethyl 7-(tert-butyl)-5-(pentan-3-yloxy)-7-azabicyclo[4.1.0]hept-3-ene-3-carboxylate
Molecular Formula
C₁₈H₃₁NO₃
Molecular Weight
309.44
CAS Number (Or Watson Number for Non-CAS Products)
196618-13-0102
Use
Impurity of
API Oseltamivir
Links
This product is developed by our R
&D company Caming Pharmaceutical Ltd (
https://www.caming.com/).
Quick Inquiry
Fill out our inquiry form and one of our experts will be in touch with you shortly.