
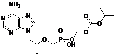
Name
Tenofovir Isoproxil Monoester
Molecular Formula
C14H22N5O7PMolecular Weight
403.33
CAS Number (Or Watson Number for Non-CAS Products)
211364-69-1
Use
Impurity of
API Tenofovir
Links
This product is developed by our R
&D company Caming Pharmaceutical Ltd (
https://www.caming.com/).
Quick Inquiry
Fill out our inquiry form and one of our experts will be in touch with you shortly.