
Name
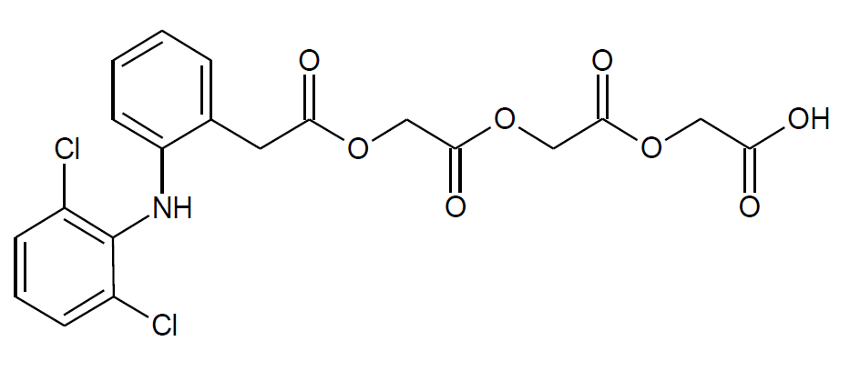
Aceclofenac Impurity-H
Synonyms
[[[[[[[2-[(2,6- dichlorophenyl)amino]phenyl]acetyl]oxy]acet yl]oxy]acetyl]oxy]acetic acid (diacetic aceclofenac)
Molecular Formula
C20H17Cl2NO8
Molecular Weight
470.26
CAS Number (Or Watson Number for Non-CAS Products)
1216495-92-9
Use
Impurity of
API Aceclofenac
Links
This product is developed by our R
&D company Caming Pharmaceutical Ltd (
https://www.caming.com/).
Quick Inquiry
Fill out our inquiry form and one of our experts will be in touch with you shortly.