
Name
AEN Impurity
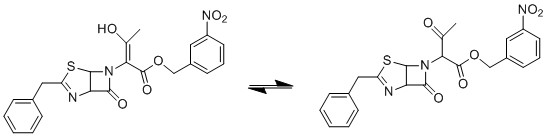
Chemical Name
3-nitrobenzyl(Z)-2-(3-benzyl-7-oxo-4-thia-2,6-diazabicyclo[3.2.0]hept-2-en-6-yl)-3-hydroxybut-2-enoate 3-nitrobenzyl2-(3-benzyl-7-oxo-4-thia-2,6-diazabicyclo[3.2.0]hept-2-en-6-yl)-3-oxobutanoate
Molecular Formula
C22H19N3O6SMolecular Weight
453.469
CAS Number (Or Watson Number for Non-CAS Products)
53994-69-735017
Appearance
White powder
Stability and Solubility
Unstable
Storage
Use
Impurity of
API 7-ACCALinks
This product is developed by our R
&D company Caming Pharmaceutical Ltd (
https://www.caming.com/).
Quick Inquiry
Fill out our inquiry form and one of our experts will be in touch with you shortly.