
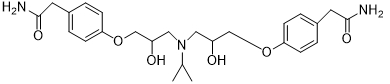
Name
Atenolol
EP impurity F
Molecular Formula
C25H35N3O6Molecular Weight
473.3
CAS Number (Or Watson Number for Non-CAS Products)
87619-83-8
Use
Impurity of
API Atenolol
Links
This product is developed by our R
&D company Caming Pharmaceutical Ltd (
https://www.caming.com/).
Quick Inquiry
Fill out our inquiry form and one of our experts will be in touch with you shortly.