
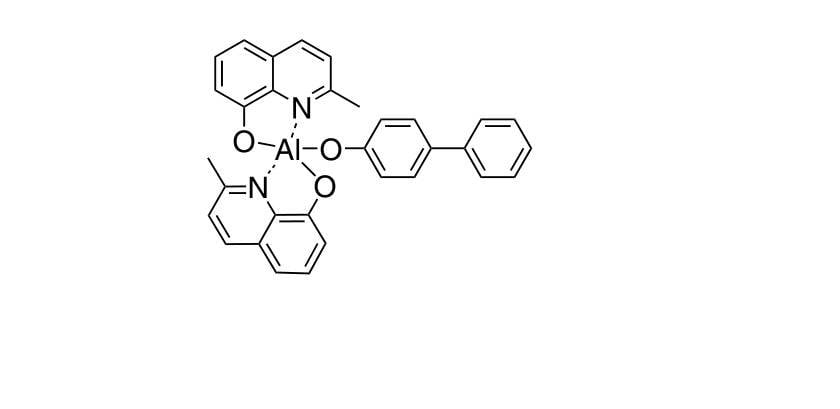
Name
BAlq
Synonyms
Bis(2-methyl-8-quinolinolate)-4-(phenylphenolato)aluminium
Molecular Formula
C32H25N2O3Al
Molecular Weight
512.53 g/mole
CAS Number
146162-54-1
Grade
Sublimed, > 99%
UV
259 nm (in
THF)
PL
477 nm (in
THF)
TGA
> 230 °C (0.5% weight loss)
Solubility
HOMO
LUMO
Emission
Melting Point
Boiling Point
TM
More About the Material
The technology of this material is authorized by
ChemWhat in London
Quick Inquiry
Fill out our inquiry form and one of our experts will be in touch with you shortly.