
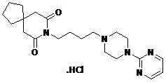
Name
Buspirone hydrochloride
Molecular Formula
C21H32ClN5O2
Molecular Weight
421.96
CAS Number (Or Watson Number for Non-CAS Products)
33386-08-2
Use
Impurity of
API Buspirone
Links
This product is developed by our R
&D company Caming Pharmaceutical Ltd (
https://www.caming.com/).
Quick Inquiry
Fill out our inquiry form and one of our experts will be in touch with you shortly.