
- Overview
- Specifications
- Shipping, Reconstitution & Storage
- General View of Documents
- Declaration
- Quick Inquiry
Overview
General Description
Recombinant Mouse FSTL3 Protein is expressed from HEK293 with His tag at the C-terminal.It contains Val24-Val256.
Biotinylated
Specifications
Target
FSTL3
Synonyms
FLRG ; FLRGFSRP ; Follistatin-like 3 ; FSTL3
Accession
Species
Mouse
Exact Sequence
Val24-Val256
Molecular Weight
The protein has a predicted MW of 26 kDa. Due to glycosylation, the protein migrates to 35-40 kDa based on Tris-Bis PAGE result.
Activity
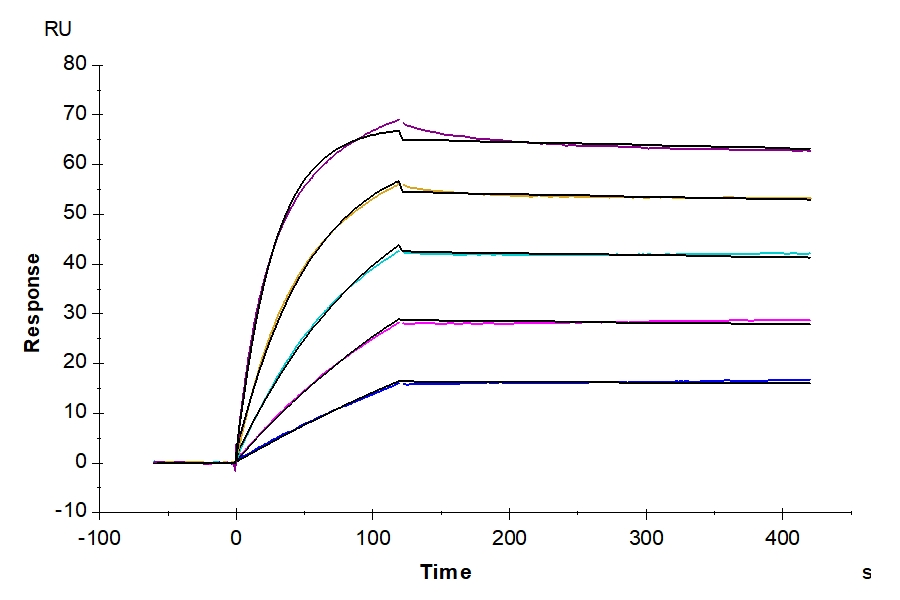
Immobilized Human Activin A, No Tag at 0.2ug/ml (100ul/well) on the plate. Dose response curve for Mouse FSTL3, His Tag with the EC50 of 18.0ng/ml determined by ELISA. The affinity constant of 53.09 pM as determined in SPR assay (Biacore T200). See testing image for detail.
Product Tag
C-His
Express System
HEK293
Purity
> 95% as determined by Tris-Bis PAGE;> 95% as determined by HPLC
Endotoxin
Less than 1EU per ug by the LAL method.
Shipping, Reconstitution & Storage
Appearance
Lyophilized
Shipping Conditions
Shipped at ambient temperature.
Formulation
Lyophilized from 0.22um filtered solution in PBS (pH 7.4). Normally 8% trehalose is added as protectant before lyophilization.
Reconstitution
Centrifuge tubes before opening. Reconstituting to a concentration more than 100 ug/ml is recommended. Dissolve the lyophilized protein in distilled water.
Stability & Storage
Reconstituted protein stable at -80°C for 12 months, 4°C for 1 week. Use a manual defrost freezer and avoid repeated freeze-thaw cycles.
General View of Documents



Mouse FSTL3, His Tag captured on CM5 Chip via anti-his antibody can bind Human Activin A, No tag with an affinity constant of 53.09 pM as determined in SPR assay (Biacore T200).



Immobilized Human Activin A, No Tag at 0.2ug/ml (100ul/well) on the plate. Dose response curve for Mouse FSTL3, His Tag with the EC50 of 18.0ng/ml determined by ELISA.
.jpg)
.jpg)
.jpg)
The purity of Mouse FSTL3 is greater than 95% as determined by SEC-HPLC.
.jpg)
.jpg)
.jpg)
Mouse FSTL3 on Tris-Bis PAGE under reduced condition. The purity is greater than 95%.
Declaration
This product is branded by ChemWhat and sold through our website. (ChemWhat Official Website).
Quick Inquiry
Fill out our inquiry form and one of our experts will be in touch with you shortly.



![Structure of Phenyl <span class="caps">3-O-</span>[(4-methoxyphenyl)methyl]-2-O-(phenylmethyl)-4,<span class="caps">6-O-</span>[(R)-phenylmethylene]-1-thio-alpha-D-mannopyranoside <span class="caps">CAS</span> 177943-74-7 Structure of Phenyl 3-O-[(4-methoxyphenyl)methyl]-2-O-(phenylmethyl)-4,6-O-[(R)-phenylmethylene]-1-thio-alpha-D-mannopyranoside CAS 177943-74-7](https://www.watson-int.com/wp-content/uploads/2022/06/Structure-of-Phenyl-3-O-4-methoxyphenylmethyl-2-O-phenylmethyl-46-O-R-phenylmethylene-1-thio-alpha-D-mannopyranoside-CAS-177943-74-7.png)



![structure of 5′-(4-amino-2,3,5,6-tetrafluorophenyl)-2,2”,3,3”,5,5”,6,6”-octafluoro-[1,1′:3′,1”-terphenyl]-4,4”-diamine <span class="caps">CAS</span> 1872200-99-1 structure of 5'-(4-amino-2,3,5,6-tetrafluorophenyl)-2,2'',3,3'',5,5'',6,6''-octafluoro-[1,1':3',1''-terphenyl]-4,4''-diamine CAS 1872200-99-1](https://www.watson-int.com/wp-content/uploads/2023/03/structure-of-CAS-1872200-99-1.png)
