
Identification
CAS Number
/
Name
NCM523
Properties
Appearance
Black powder
Safety Data
RIDADR
NONH for all modes of transport
Specifications and Other Information of Our NCM523
Product Introduction
The ZT05A product has been sintered at high temperature and has high compaction density, excellent processing performance, high specific capacity, good cycle stability and high thermal stability. It is mainly used for power tools, digital batteries and other products.
Product Features
- High compaction : compaction density ≥3.4g/cm3.
- High capacity : half-cell 1C capacity 154.6mAh/g ; full-cell 0.2C capacity 161.72mAh/g, 1C capacity 155.77mAh/g.
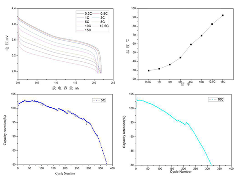
- High rate : full-cell 10C capacity 160.34mAh/g, 10C/0.2C=99.15%, 10C cycle 300th capacity retention rate>80%.
- Thermal stability : 1C discharge maximum temperature 29.5℃, 10C discharge maximum temperature 69.1℃.
Detailed Specification
| Item | Specification |
| Particle Size | Dmin : ≥1.0um |
| D10 : ≥4.5um | |
| D50 : 9.0~10.5um | |
| D90 : ≤20um | |
| Dmax : ≤30um | |
| Tap density | ≥2.4g/cm3 |
| Specific surface area | 0.2-0.6m2/g |
| Water content | ≤500ppm |
| pH value | ≤12 |
| LiOH | ≤1200ppm |
| Li2CO3 | ≤1200ppm |
| Ni | 49.0-51.0 |
| Co | 19.0-21.0 |
| Mn | 29.0-31.0 |
| K | ≤50ppm |
| Ca | ≤100ppm |
| Na | ≤300ppm |
| Cr | ≤50ppm |
| Fe | ≤50ppm |
| Cu | ≤50ppm |
| Mg | ≤100ppm |
| S | ≤1500ppm |
| Zn | ≤50ppm |
| Si | / |
| AI | / |
| Ti | / |
| Zr | / |
| Magnetic materials | ≤100ppb |



Coin half Cell
| Grade | NCM523 | |
| Coin Cell Test 25℃(3.0~4.3V) | 1st.C.Cap.(0.1C) | 190.33mAh/g |
| 1st.C.Cap.(0.1C) | 165.13mAh/g | |
| 1st.Eff. | 87% | |
| 0.2C/0.2C | 165.1mAh/g | |
| 0.5C/0.5C | 159.8mAh/g | |
| 1.0C/1.0C | 154.6mAh/g | |
| 1.0C/2.0C | 147mAh/g | |
| 1.0C/5.0C | 135mAh/g |
Full Cell
| NCM523 | Charging capacity (Ah) | Discharging capacity (Ah) | Specific capacity (mAh/g) | Discharging capacity retention rate (%) | Maximum temperature (℃) |
| 1st.Discharge(0.2C) | 0.142 | 2.193 | 161.72 | 100.00% | 27.1 |
| 0.5C/0.5C | 2.206 | 2.149 | 158.45 | 97.98% | 28.1 |
| 0.5C/1.0C | 2.162 | 2.112 | 155.77 | 96.32% | 29.5 |
| 0.5C/3.0C | 2.118 | 2.076 | 153.07 | 94.65% | 36.6 |
| 0.5C/5.0C | 2.079 | 2.094 | 154.44 | 95.50% | 44.7 |
| 0.5C/8.0C | 2.096 | 2.144 | 158.11 | 97.77% | 49.2 |
| 0.5C/10.0C | 2.146 | 2.174 | 160.34 | 99.15% | 69.1 |
| 0.5C/12.5C | 2.175 | 2.179 | 160.66 | 99.35% | 81.1 |
| 0.5C/15C | 2.18 | 2.132 | 160.66 | 97.20% | 92.1 |



Links
This product is developed by our R&D company Warshel Chemical Ltd (https://www.warshel.com/).
Quick Inquiry
Fill out our inquiry form and one of our experts will be in touch with you shortly.






![Structure of 4H-cyclopenta[1,2-b5,4-b’]bisthiophene <span class="caps">CAS</span> 389-58-2 Structure of 4H-cyclopenta[1,2-b5,4-b']bisthiophene CAS 389-58-2](https://www.watson-int.com/wp-content/uploads/2018/06/Structure-of-4H-cyclopenta12-b54-bbisthiophene-CAS-389-58-2.png)
![Structure of Benzo[ghi]perylene <span class="caps">CAS</span> 191-24-2 Structure of Benzo[ghi]perylene CAS 191-24-2](https://www.watson-int.com/wp-content/uploads/2014/12/Structure-of-Benzoghiperylene-CAS-191-24-2.png)
