
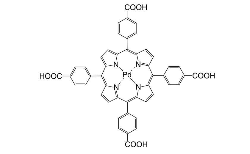
Name
PdTCPP
Synonyms
Palladium(
II) meso-tetra(4-carboxyphenyl)porphine
Molecular Formula
C48H28N4O8Pd
Molecular Weight
895.18 g/mole
CAS Number
94288-44-5
Grade
> 95% (
NMR)
UV
PL
TGA
Solubility
HOMO
LUMO
Emission
Melting Point
Boiling Point
TM
More About the Material
The technology of this material is authorized by
ChemWhat in London
Quick Inquiry
Fill out our inquiry form and one of our experts will be in touch with you shortly.