
Name
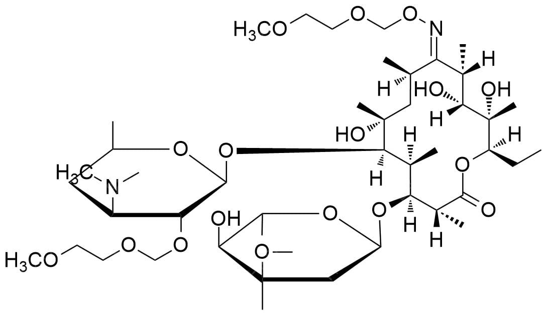
Roxithromycin Impurity I
Synonyms
(
3R,
4S,
5S,
6R,
7R,
9R,
11S,
12R,
13S,
14R,E)-6-(((
2S,
3R,
4S,
6R)-4-(dimethylamino)-3-((2-methoxyethoxy)methoxy)-6-methyltetrahydro-2H-pyran-2-yl)oxy)-14-ethyl-7,12,13-trihydroxy-4-(((
2R,
4R,
5S,
6S)-5-hydroxy-4-methoxy-4,6-dimethyltetrahydro-2H-pyran-2-yl)oxy)-10-(((
Molecular Formula
C₄₅H₈₄N₂O₁₇
Molecular Weight
925.15
CAS Number (Or Watson Number for Non-CAS Products)
80214-83-19
Use
Impurity of
API Roxithromycin
Links
This product is developed by our R
&D company Caming Pharmaceutical Ltd (
https://www.caming.com/).
Quick Inquiry
Fill out our inquiry form and one of our experts will be in touch with you shortly.