
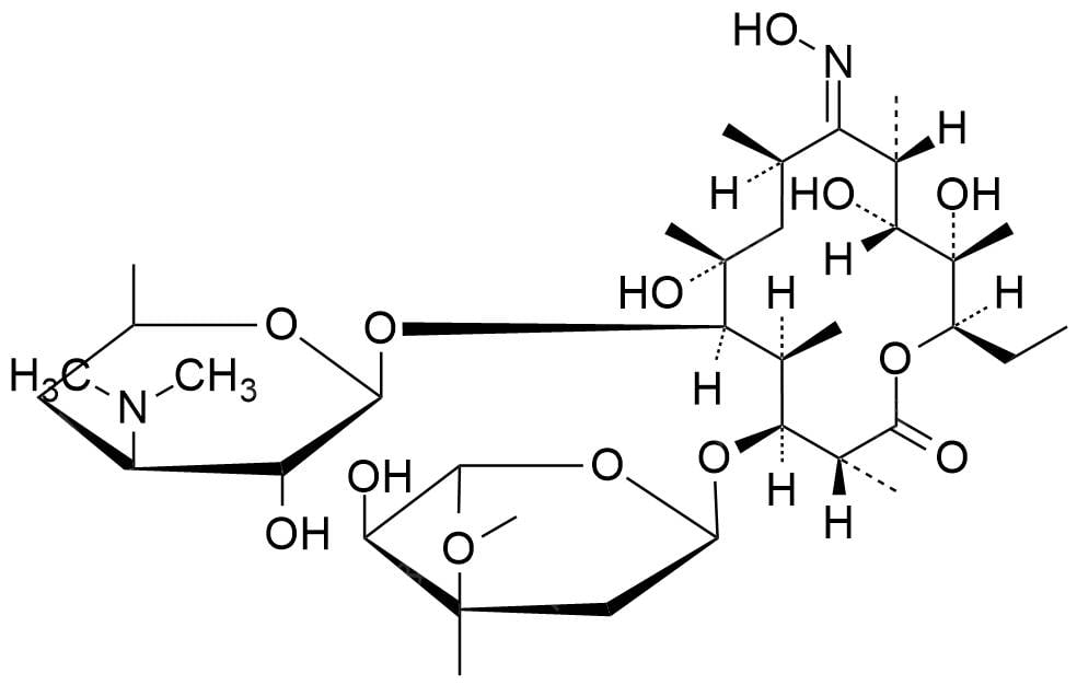
Name
Roxithromycin
EP Impurity C
Synonyms
(
3R,
4S,
5S,
6R,
7R,
9R,
11S,
12R,
13S,
14R,E)-6-(((
2S,
3R,
4S,
6R)-4-(dimethylamino)-3-hydroxy-6-methyltetrahydro-2H-pyran-2-yl)oxy)-14-ethyl-7,12,13-trihydroxy-4-(((
2R,
4R,
5S,
6S)-5-hydroxy-4-methoxy-4,6-dimethyltetrahydro-2H-pyran-2-yl)oxy)-10-(hydroxyimino)-3,5,7,9
Molecular Formula
C₃₇H₆₈N₂O₁₃
Molecular Weight
748.94
CAS Number (Or Watson Number for Non-CAS Products)
80214-83-13
Use
Impurity of
API Roxithromycin
Links
This product is developed by our R
&D company Caming Pharmaceutical Ltd (
https://www.caming.com/).
Quick Inquiry
Fill out our inquiry form and one of our experts will be in touch with you shortly.