
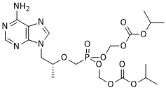
Name
Tenofovir Disoproxil
Molecular Formula
C19H30N5O10PMolecular Weight
519.44
CAS Number (Or Watson Number for Non-CAS Products)
201341-05-1
Use
Impurity of
API Tenofovir
Links
This product is developed by our R
&D company Caming Pharmaceutical Ltd (
https://www.caming.com/).
Quick Inquiry
Fill out our inquiry form and one of our experts will be in touch with you shortly.