
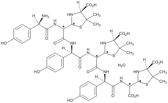
Name
Amoxicillin Impurity N(
EP) (A Trimer)
Chemical Name
(
4S,4’S,4”S)-2,2′,2”-((
4R,
10R,
16R)-16-amino-1-carboxy-4,10,16-tris(4-hydroxyphenyl)-3,6,9,12,15-pentaoxo-2,5,8,11,14-pentaazahexadecane-1,7,13-triyl)tris(5,5-dimethylthiazolidine-4-carboxylic acid)
Molecular Formula
C48H59N9O16S3Molecular Weight
1114.227
CAS Number (Or Watson Number for Non-CAS Products)
26787-78-04001015
Appearance
White solid
Stability and Solubility
Dissolve in water
Storage
Store at -20°C
Use
Impurity of
API Amoxicillin
Links
This product is developed by our R
&D company Caming Pharmaceutical Ltd (
https://www.caming.com/).
Quick Inquiry
Fill out our inquiry form and one of our experts will be in touch with you shortly.