
Name
Benzylpenicillin Sodium Impurity V
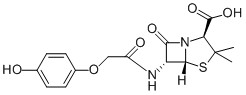
Chemical Name
(
2S,
5R,
6R)-6-(2-(4-hydroxyphenoxy)acetamido)-3,3-dimethyl-7-oxo-4-thia-1- azabicyclo[3.2.0]heptane-2-carboxylic acid
Molecular Formula
C16H18N2O6SMolecular Weight
366.388
CAS Number (Or Watson Number for Non-CAS Products)
61-33-64015016
Appearance
White solid
Stability and Solubility
Unstable
Storage
Store at -20°C
Use
Impurity of
API Benzylpenicillin
Links
This product is developed by our R
&D company Caming Pharmaceutical Ltd (
https://www.caming.com/).
Quick Inquiry
Fill out our inquiry form and one of our experts will be in touch with you shortly.