
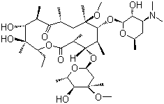
Name
Clarithromycin
Synonyms
6-O-Methylerythromycin ; A-56268 ; Biaxin ; Klacid ;
TE-03Molecular Formula
C38H69NO13Molecular Weight
747.96
CAS Number (Or Watson Number for Non-CAS Products)
81103-11-9
EINECS
Specs/Standards
USP,
EP,
BPUse
Links
This product is developed by our R
&D company Caming Pharmaceutical Ltd (
https://www.caming.com/), and here is the corresponding link
https://www.caming.com/Clarithromycin-cas-81103-11-9/Quick Inquiry
Fill out our inquiry form and one of our experts will be in touch with you shortly.