
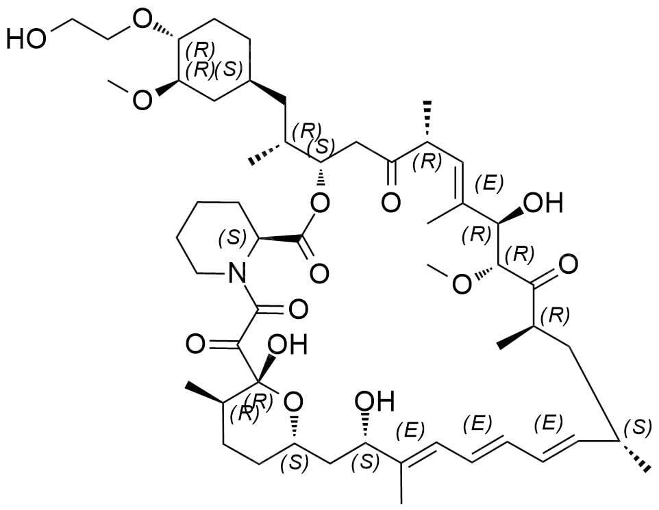
Name
Everolimus Impurity 005-98
Synonyms
(
1R,
9S,
12S,
15R,
16Z,
18R,
19R,
21R,
23S,
24Z,
26Z,
28Z,
30S,
32S,
35R)-1,18,30-Trihydroxy-12-{(
2R)-1-[(
1S,
3R,
4R)-4-(2-hydroxyethoxy)-3-methoxycyclohexyl]-2-propanyl}-19-methoxy-15,17,21,23,29,35-hexamethyl-11,36 ;-dioxa-4-azatricyclo[30.3.1.0]hexatriaconta-16,24,26,
Molecular Formula
C₅₂H₈₁NO₁₄
Molecular Weight
944.2
CAS Number (Or Watson Number for Non-CAS Products)
745779-75-3
Use
Impurity of
API Everolimus
Links
This product is developed by our R
&D company Caming Pharmaceutical Ltd (
https://www.caming.com/).
Quick Inquiry
Fill out our inquiry form and one of our experts will be in touch with you shortly.