
- Overview
- Specifications
- Shipping, Reconstitution & Storage
- General View of Documents
- Declaration
- Quick Inquiry
Overview
General Description
Recombinant Human BTLA Protein is expressed from HEK293 with His tag and Avi tag at the C-terminal.It contains Lys31-Ser150.
Biotinylated
Specifications
Target
BTLA
Synonyms
CD272 ; BTLA ; BTLA1 ; FLJ16065 ; MGC129743
Accession
Species
Human
Exact Sequence
Lys31-Ser150
Molecular Weight
The protein has a predicted MW of 16.7 kDa. Due to glycosylation, the protein migrates to 35-45 kDa based on Tris-Bis PAGE result.
Activity
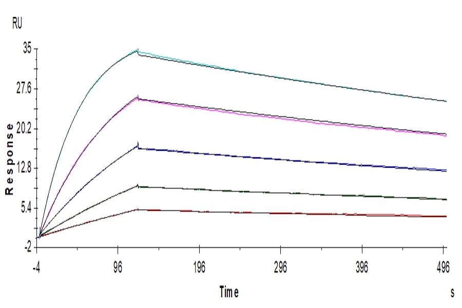
Immobilized Human BTLA, His Tag at 0.5ug/ml (100ul/Well) on the plate. Dose response curve for Anti-BTLA Antibody, hFc Tag with the EC50 of 9.1ng/ml determined by ELISA (QC Test). The affinity constant of 0.99nM as determined in SPR assay (Biacore T200). See testing image for detail.
Product Tag
C-His-Avi
Express System
HEK293
Purity
> 95% as determined by Tris-Bis PAGE;> 95% as determined by HPLC
Endotoxin
Less than 1EU per ug by the LAL method.
Shipping, Reconstitution & Storage
Appearance
Lyophilized
Shipping Conditions
Shipped at ambient temperature.
Formulation
Lyophilized from 0.22um filtered solution in PBS (pH 7.4). Normally 5% trehalose is added as protectant before lyophilization.
Reconstitution
Centrifuge tubes before opening. Reconstituting to a concentration more than 100 ug/ml is recommended. Dissolve the lyophilized protein in distilled water.
Stability & Storage
Reconstituted protein stable at -80°C for 12 months, 4°C for 1 week. Use a manual defrost freezer and avoid repeated freeze-thaw cycles.
General View of Documents



Anti-BTLA antibody captured on Protein A chip, can bind Human BTLA, His Tag with an affinity constant of 0.99nM as determined in a SPR assay (Biacore T200).



Immobilized Human BTLA, His Tag at 0.5ug/ml (100ul/Well) on the plate. Dose response curve for Anti-BTLA Antibody, hFc Tag with the EC50 of 9.1ng/ml determined by ELISA (QC Test).



Immobilized Human BTLA, His Tag at 2ug/ml (100ul/Well). Dose response curve for Human HVEM, hFc Tag with the EC50 of 32.6ng/ml determined by ELISA.
.jpg)
.jpg)
.jpg)
The purity of Human BTLA is greater than 95% as determined by SEC-HPLC.
.jpg)
.jpg)
.jpg)
Human BTLA on Tris-Bis PAGE under reduced condition. The purity is greater than 95%.
Declaration
This product is branded by ChemWhat and sold through our website. (ChemWhat Official Website).
Quick Inquiry
Fill out our inquiry form and one of our experts will be in touch with you shortly.









