
- Overview
- Specifications
- Shipping, Reconstitution & Storage
- General View of Documents
- Declaration
- Quick Inquiry
Overview
General Description
Recombinant Human IGFBP-3 Protein is expressed from HEK293 with His tag at the C-terminal.It contains Gly28-Lys291.
Biotinylated
Specifications
Target
IGFBP-3
Synonyms
IBP3 ; IGFBP3 ; IGFBP-3 ; BP-53
Accession
Species
Human
Exact Sequence
Gly28-Lys291
Molecular Weight
The protein has a predicted MW of 29.8 kDa. Due to glycosylation, the protein migrates to 45-60 kDa based on Tris-Bis PAGE result.
Activity
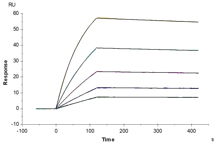
Immobilized Human IGFBP-3, His Tag at 2ug/ml (100ul/well) on the plate. Dose response curve for Human IGF-II, hFc Tag with the EC50 of 0.14ug/ml determined by ELISA (QC Test). The affinity constant of 2.32 nM as determined in SPR assay (Biacore T200). See testing image for detail.
Product Tag
C-His
Express System
HEK293
Purity
> 95% as determined by Tris-Bis PAGE
Endotoxin
Less than 1EU per ug by the LAL method.
Shipping, Reconstitution & Storage
Appearance
Lyophilized
Shipping Conditions
Shipped at ambient temperature.
Formulation
Lyophilized from 0.22um filtered solution in PBS (pH 7.4). Normally 8% trehalose is added as protectant before lyophilization.
Reconstitution
Centrifuge tubes before opening. Reconstituting to a concentration more than 100 ug/ml is recommended. Dissolve the lyophilized protein in distilled water.
Stability & Storage
Reconstituted protein stable at -80°C for 12 months, 4°C for 1 week. Use a manual defrost freezer and avoid repeated freeze-thaw cycles.
General View of Documents



Human IGFBP-3, His Tag captured on CM5 Chip via anti-his antibody can bind Human IGFI, hFc Tag with an affinity constant of 2.32 nM as determined in SPR assay (Biacore T200).



Immobilized Human IGFBP-3, His Tag at 2ug/ml (100ul/well) on the plate. Dose response curve for Human IGF-II, hFc Tag with the EC50 of 0.14ug/ml determined by ELISA (QC Test).



Human IGFBP-3 on Tris-Bis PAGE under reduced condition. The purity is greater than 95%.
Declaration
This product is branded by ChemWhat and sold through our website. (ChemWhat Official Website).
Quick Inquiry
Fill out our inquiry form and one of our experts will be in touch with you shortly.


![Structure of Guanosine-5′-triphosphate [<span class="caps">GTP</span>], Trisodium salt <span class="caps">CAS</span> 36051-31-7 Structure of Guanosine-5'-triphosphate [GTP], Trisodium salt CAS 36051-31-7](https://www.watson-int.com/wp-content/uploads/2021/09/Structure-of-Guanosine-5-triphosphate-GTP-Trisodium-salt-CAS-36051-31-7.jpg)






