
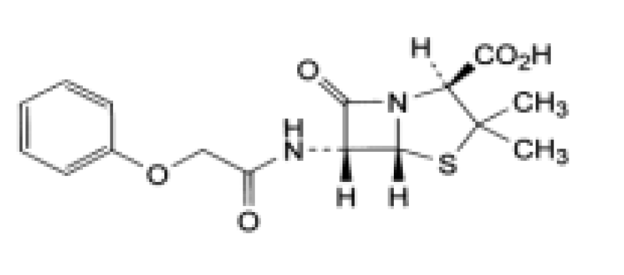
Name
Phenoxymethylpe nicillin
Synonyms
(
2S,
5R,
6R)-3,3-Dimethyl-7-oxo-6- [(phenoxyacetyl)amino]-4-thia-1- azabicyclo[3.2.0]heptane-2-carboxylic acid
Molecular Formula
C16H18N2O5SMolecular Weight
350.39
CAS Number (Or Watson Number for Non-CAS Products)
87-08-1
Use
Impurity of
API Phenoxymethylpe
Links
This product is developed by our R
&D company Caming Pharmaceutical Ltd (
https://www.caming.com/).
Quick Inquiry
Fill out our inquiry form and one of our experts will be in touch with you shortly.