
Name
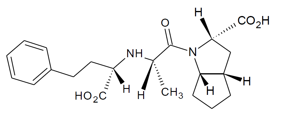
Ramipril Impurity E
Synonyms
(
2S,3aS,6aS)-1-[(
2S)-2-[[(
1S)-1-carboxy-3- phenylpropyl]-amino]propanoyl] octahydro cyclopenta[b]pyrrole-2-carboxylic acid (ramipril diacid)
Molecular Formula
Molecular Weight
CAS Number (Or Watson Number for Non-CAS Products)
87333-19-5123
Use
Impurity of
API Ramipril
Links
This product is developed by our R
&D company Caming Pharmaceutical Ltd (
https://www.caming.com/).
Quick Inquiry
Fill out our inquiry form and one of our experts will be in touch with you shortly.