
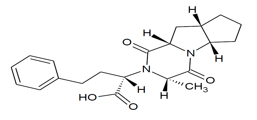
Name
Ramipril Impurity K
Synonyms
(
2S)-2-[(
3S,5aS,8aS,9aS)-3-methyl-1,4-dioxo decahydro-2H-cyclopenta [4,5]pyrrolo[1,2- a]pyrazin-2-yl]-4-phenylbutanoicacid (ramipril diketopiperazine acid)
Molecular Formula
C21H26N2O4Molecular Weight
370.44
CAS Number (Or Watson Number for Non-CAS Products)
108736-10-3
Use
Impurity of
API Ramipril
Links
This product is developed by our R
&D company Caming Pharmaceutical Ltd (
https://www.caming.com/).
Quick Inquiry
Fill out our inquiry form and one of our experts will be in touch with you shortly.