
- Overview
- Specifications
- Shipping, Reconstitution & Storage
- General View of Documents
- Declaration
- Quick Inquiry
Overview
General Description
Recombinant Biotinylated Mouse CDCP1 Protein is expressed from HEK293 with His tag and Avi tag at the C-terminal.It contains Arg25-Ala667.
Biotinylated
Yes
Specifications
Target
CDCP1
Synonyms
CDCP1 ; CD318 ; SIMA135 ; TRASK ; UNQ2486 ; PRO5773
Accession
Species
Mouse
Exact Sequence
Arg25-Ala667
Molecular Weight
The protein has a predicted MW of 75.3 kDa. Due to glycosylation, the protein migrates to 80-100 kDa based on Tris-Bis PAGE result.
Activity
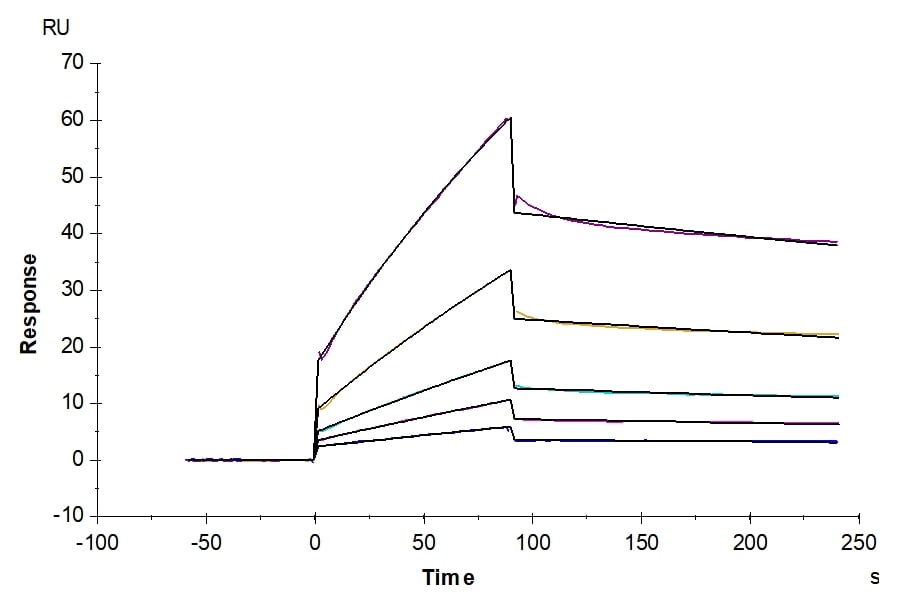
The affinity constant of 0.45 uM as determined in SPR assay (Biacore T200). See testing image for detail.
Product Tag
C-His-Avi
Express System
HEK293
Purity
> 95% as determined by Tris-Bis PAGE;> 95% as determined by HPLC
Endotoxin
Less than 1EU per ug by the LAL method.
Shipping, Reconstitution & Storage
Appearance
Lyophilized
Shipping Conditions
Shipped at ambient temperature.
Formulation
Lyophilized from 0.22um filtered solution in PBS (pH 7.4). Normally 5% trehalose is added as protectant before lyophilization.
Reconstitution
Centrifuge tubes before opening. Reconstituting to a concentration more than 100 ug/ml is recommended. Dissolve the lyophilized protein in distilled water.
Stability & Storage
Reconstituted protein stable at -80°C for 12 months, 4°C for 1 week. Use a manual defrost freezer and avoid repeated freeze-thaw cycles.
General View of Documents



Anti-CDCP1 Antibody captured on CM5 Chip via Protein A can bind Biotinylated Mouse CDCP-1, His Tag with an affinity constant of 0.45 uM as determined in SPR assay (Biacore T200).



The purity of Biotinylated Mouse CDCP1 is greater than 95% as determined by SEC-HPLC.
.jpg)
.jpg)
.jpg)
Biotinylated Mouse CDCP1 on Tris-Bis PAGE under reduced condition. The purity is greater than 95%.
Declaration
This product is branded by ChemWhat and sold through our website. (ChemWhat Official Website).
Quick Inquiry
Fill out our inquiry form and one of our experts will be in touch with you shortly.









