
- Overview
- Specifications
- Shipping, Reconstitution & Storage
- General View of Documents
- Declaration
- Quick Inquiry
Overview
General Description
Recombinant Human GPA Protein is expressed from HEK293 with hFc tag at the C-terminal.It contains Ser20-Glu91.
Biotinylated
Specifications
Target
GPA
Synonyms
Glycophorin-A ; PAS-2 ; CD235a ; glycophorin Erik ; glycophorin MiI ; glycophorin MiIII ; glycophorin MiV ; glycophorin MiX ; glycophorin SAT ; GPA ; GPErik ; GpMiIII ; GPSAT ; GYPA ; HGpMiIII ; HGpMiV ; HGpMiX ; HGpMiXI ; HGpSta(C); MNS ; CD235a ; MN
Accession
Species
Human
Exact Sequence
Ser20-Glu91
Molecular Weight
The protein has a predicted MW of 34.7 kDa. Due to glycosylation, the protein migrates to 45-70 kDa based on Tris-Bis PAGE result.
Activity
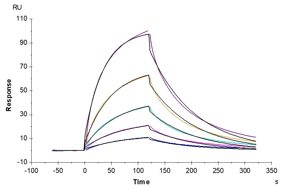
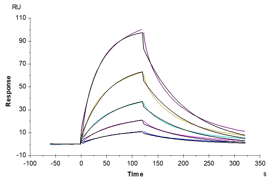
The affinity constant of 0.72 uM as determined in SPR assay (Biacore T200). See testing image for detail.
Product Tag
C-hFc
Express System
HEK293
Purity
> 95% as determined by Tris-Bis PAGE;> 95% as determined by HPLC
Endotoxin
Less than 1EU per ug by the LAL method.
Shipping, Reconstitution & Storage
Appearance
Lyophilized
Shipping Conditions
Shipped at ambient temperature.
Formulation
Lyophilized from 0.22um filtered solution in PBS (pH 7.4). Normally 5% trehalose is added as protectant before lyophilization.
Reconstitution
Centrifuge tubes before opening. Reconstituting to a concentration more than 100 ug/ml is recommended. Dissolve the lyophilized protein in distilled water.
Stability & Storage
Reconstituted protein stable at -80°C for 12 months, 4°C for 1 week. Use a manual defrost freezer and avoid repeated freeze-thaw cycles.
General View of Documents



Anti-GPA Antibody immobilized on CM5 Chip can bind Human GPA, hFc Tag with an affinity constant of 0.72 uM as determined in SPR assay (Biacore T200).
.jpg)
.jpg)
.jpg)
The purity of Human GPA is greater than 95% as determined by SEC-HPLC.
.jpg)
.jpg)
.jpg)
Human GPA on Tris-Bis PAGE under reduced condition. The purity is greater than 95%.
Declaration
This product is branded by ChemWhat and sold through our website. (ChemWhat Official Website).
Quick Inquiry
Fill out our inquiry form and one of our experts will be in touch with you shortly.









